首页 药检系统 新闻动态 信息公开 服务大厅 专题栏目 数据中心 数字平台 农药科学与管理

2025年我国新农药登记情况分析

发布时间:2026-01-22 来源:《农药科学与管理》2026年第1期 浏览次数:3674

《农药科学与管理》2026年第1期 2026-01-22 3674

截至20251231日,2025年我国登记了15个新有效成分的29个新农药产品。其中3个杀虫剂有效成分,涉及6个产品;12个杀菌剂有效成分,涉及23个产品。有12个原药(母药)与制剂同时登记,涉及25个农药产品,占新农药的86.2%。本文中新农药不含仅限出口农药。

杀虫剂

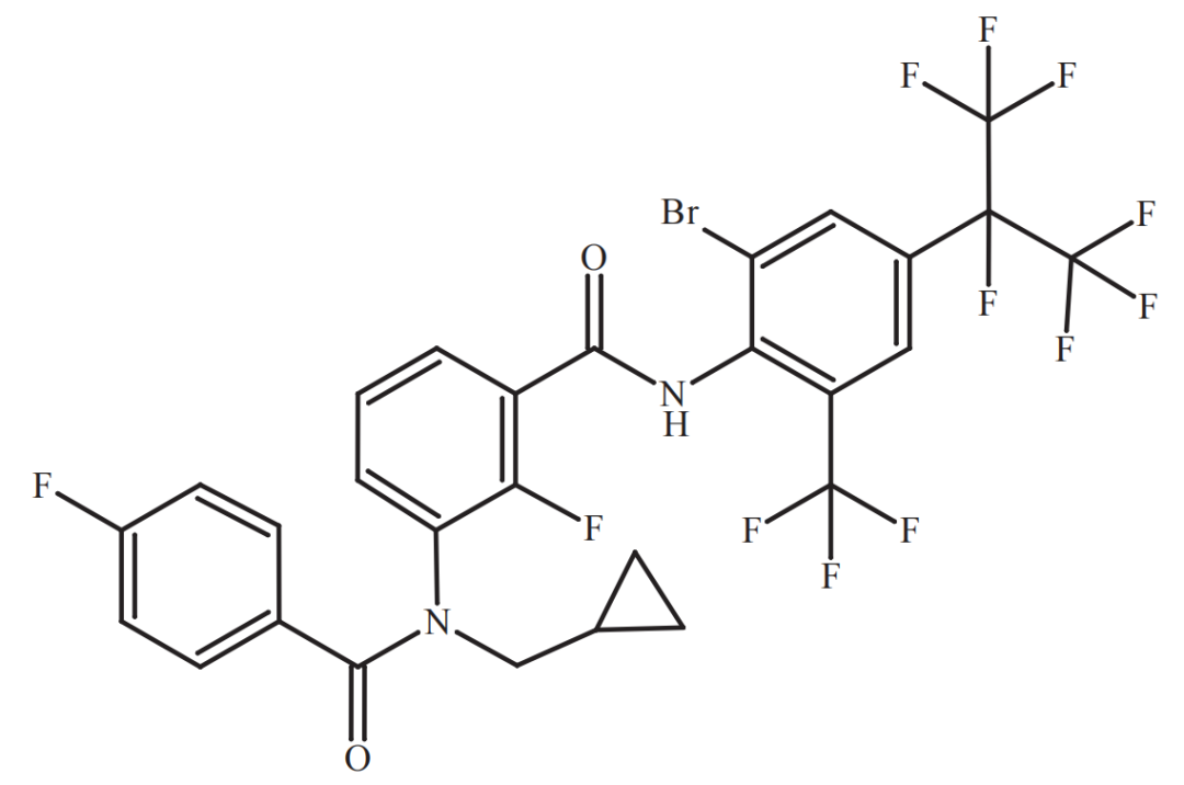
1.1 环丙氟虫胺 2025年登记该农药1个原药、2个制剂,由南通泰禾化工股份有限公司取得登记,英文通用名:cyproflanilideCAS 登录号:2375110-88-4,分子式:C28H17BrF12N2O2,化学结构式如下。

图片
1.1.1 98%环丙氟虫胺原药 微毒,登记号PD20252161,是农药制剂加工的原材料,不得用于农作物或者其他场所。

1.1.2 20%环丙氟虫胺悬浮剂 微毒,登记号PD20252167,本品属杀虫剂,防治小白菜小菜蛾和甘蓝小菜蛾,作用机理是通过代谢物去环丙甲基-环丙氟虫胺作用于靶标害虫GABA受体RDL1RDL2两个亚基,引起昆虫过度兴奋,导致抽搐,最终死亡,具有胃毒和触杀作用。防治小白菜小菜蛾,在小白菜小菜蛾卵孵盛期至低龄幼虫期采用该品510 mL/667 m²制剂量,用水量4550 kg/667 m²进行喷雾喷施,每季最多施药1次,安全间隔期5 d。防治甘蓝小菜蛾,在甘蓝小菜蛾卵孵盛期至低龄幼虫期采用该品510 mL/667 m²制剂量,用水量4050 kg/667 m²,进行喷雾喷施,每季最多施药1次,安全间隔期7 d

1.1.3 10%环丙氟虫胺可分散液剂 低毒,登记号PD20252168,本品属杀虫剂,防治小白菜黄条跳甲、甘蓝小菜蛾和甜菜夜蛾,作用机理是通过代谢物去环丙甲基-环丙氟虫胺作用于靶标害虫GABA受体RDL1RDL2 2个亚基,引起昆虫过度兴奋,导致抽搐,最终死亡,具有胃毒和触杀作用。防治小白菜黄条跳甲,在小白菜黄条跳甲发生初期采用该品1020 mL/667 m²制剂量,用水量3050 kg/667 m²,进行喷雾喷施,每季最多施药1次,安全间隔期5 d。防治甘蓝小菜蛾,在甘蓝小菜蛾卵孵盛期至低龄幼虫期采用该品1020 mL/667 m²制剂量,用水量3050 kg/667 m²进行喷雾喷施,每季最多施药1次,安全间隔7 d。防治甘蓝甜菜夜蛾,在甘蓝甜菜夜蛾卵孵盛期至低龄幼虫期采用该品515 mL/667 m²制剂量,用水量50 kg/667 m²,进行喷雾喷施,每季最多施药1次,安全间隔期7 d

其原药生产工作时应穿长衣长裤、靴子,戴帽子、护目镜、口罩、手套等防护用具;其制剂对眼睛有中度刺激性,使用时避免接触眼睛,采取安全防护措施,穿长衣长裤、防护鞋、戴口罩、手套,有条件者戴护目镜,避免皮肤接触及口鼻吸入。

1.2 灭螨醌 2025年登记该农药1个原药、1个制剂,由永农生物科学有限公司取得登记,英文通用名:acequinocylCAS 登录号:57960-19-7,分子式:C24H32O4,化学结构式如下。

图片

1.2.1 96%灭螨醌原药 低毒,登记号PD20252162,是农药制剂加工的原材料,不得用于农作物或者其他场所。

1.2.2 15%灭螨醌水乳剂 低毒,登记号PD20252169,本品属杀螨剂,防治柑橘树红蜘蛛,作用机理是在螨体内水解为2-十二烷基-3-羟基-14-萘醌,与线粒体电子传递链复合体上的Qo中心(泛醇氧化位点)结合,从而抑制电子传递。在柑橘树红蜘蛛卵孵化初期或发生始盛期采用该品1 5002 500倍液制剂量,进行喷雾喷施,每季最多使用1次,安全间隔期25 d

其原药对眼睛有刺激性,建议操作人员佩戴自吸过滤式防尘口罩,戴化学安全防护眼镜,穿透气型防毒服,戴防化学品手套;其制剂对皮肤和眼睛有刺激性,使用时应采取相应的安全防护措施,穿靴子、长袖衣和长裤,戴防护手套、口罩等,避免皮肤接触及口鼻吸入。

1.3 磷酸铁 2025年登记该农药1个制剂,由法国戴商高士公司取得登记,英文通用名:Ferric phosphateCAS 登录号:10045-86-0,分子式:FePO4,化学结构式如下。

图片
1.3.1 2.4%磷酸铁颗粒剂 低毒,登记号PD20251262,本品属杀软体动物剂,防治甘蓝蜗牛和蛞蝓,作用机理是软体动物取食磷酸铁颗粒剂后,铁元素快速通过消化壁道被吸收,造成钙离子代谢紊乱,无法分泌黏液,妨碍移动和摄食,最终导致死亡。在甘蓝移栽后,甘蓝蜗牛、蛞蝓发生始盛期采用该品400500 g/667 m²制剂量,进行撒施1次。

其制剂对皮肤有轻度刺激性,施药时应穿防护服、戴防护面罩(或护目镜和口罩)、手套等安全防护用具,操作时避免接触皮肤和眼睛。

杀菌剂

2.1 枯草芽孢杆菌HT1902 2025年登记该农药1个母药、1个制剂,由陕西恒田生物农业有限公司取得登记,英文通用名:Bacillus subtilis HT1902

2.1.1 5000亿CFU/g枯草芽孢杆菌HT1902母药 微毒,登记号PD20250004,是农药制剂加工的原材料,不得用于农作物或者其他场所。

2.1.2 1000亿CFU/g枯草芽孢杆菌HT1902可湿性粉剂 微毒,登记号PD20250009,本品属微生物杀菌剂,防治黄瓜白粉病,作用机理是通过利用植物表面的营养和水分进行繁殖,占领整个植物表面,同时分泌具有杀菌作用的活性物质,达到排斥、抑制和杀灭病菌的作用。在黄瓜白粉病发病前或发病初期采用该品7080 g/667 m²制剂量,用水量4560 kg/667 m²,进行喷雾施药,可连续施药3次,间隔7 d左右。

其母药对皮肤、眼睛有刺激性,操作时应穿戴防护服、防护面罩、护目镜、口罩、手套等安全防护用具;其制剂对眼睛有中度刺激性,操作时应穿戴防护服、防护面罩、护目镜、口罩、手套等安全防护用具。

2.2 贝莱斯芽孢杆菌M173 2025年登记该农药1个母药、1个制剂,由湖南慕恩生物科技有限公司取得登记,英文通用名:Bacillus velezensis M173

2.2.1 1000亿CFU/g贝莱斯芽孢杆菌M173母药 微毒,登记号PD20250002,是农药制剂加工的原材料,不得用于农作物或者其他场所。

2.2.2 5亿CFU/mL贝莱斯芽孢杆菌M173悬浮剂 微毒,登记号PD20250007,本品属微生物杀菌剂,防治番茄青枯病,作用机理是通过包括竞争作用、拮抗作用和诱导抗性作用,抑制作物的根部药害。在番茄苗移栽时首次施药,用该品1 5002 000 mL/667 m²制剂量,用水量4570 kg/667 m²,进行灌根,可连续施药3次,间隔710 d

其母药对眼睛有中度刺激性,避免药液溅入眼睛,操作时应穿戴防护服、防护面罩、护目镜、口罩、手套等安全防护用具,避免接触药品;其制剂使用时应穿戴防护用品,避免接触药品。避免皮肤接触及口鼻吸入。

2.3 贝莱斯芽孢杆菌C17271 2025年登记该农药1个母药、1个制剂,由浙江赛瑞可细胞技术有限公司取得登记,英文通用名:Bacillus velezensis C17271

2.3.1 20亿CFU/g贝莱斯芽孢杆菌C17271母药 低毒,登记号PD20250005,是农药制剂加工的原材料,不得用于农作物或者其他场所。

2.3.2 15亿CFU/g贝莱斯芽孢杆菌C17271可湿性粉剂 微毒,登记号PD20250010,本品属微生物杀菌剂,防治小麦赤霉病,作用机理是通过利用叶面上的营养和水分在叶片上繁殖,占领整个叶片表面,同时分泌具有杀菌作用的活性物质,达到抑制和杀灭病菌的作用。在小麦杨花初期首次施药,采用该品150200 g/667 m²制剂量,用水量3050 kg/667 m²,进行喷雾喷施,可连续施药2次,间隔7 d左右。

其母药对眼睛有中度刺激性,操作时应穿戴防护服、防护面罩、护目镜、口罩、手套等安全防护用具;其制剂对眼睛有强刺激性,使用时应穿戴防护服、手套、口罩、护目镜等,避免吸入药液。

2.4 哈茨木霉菌TH7 2025年登记该农药1个母药、1个制剂,由湖南慕恩生物科技有限公司取得登记,英文通用名:Trichoderma harzianum TH7

2.4.1 50亿CFU/g哈茨木霉菌TH7母药 低毒,登记号PD20250001,是农药制剂加工的原材料,不得用于农作物或者其他场所。

2.4.2 1亿CFU/mL哈茨木霉菌TH7可分散油悬浮剂 微毒,登记号PD20250006,本品属微生物杀菌剂,防治番茄灰霉病,作用机理是通过包括竞争作用、重寄生作用、抗生作用和诱导抗性作用防治番茄灰霉病。在番茄灰霉病发病前或发病初期开始施药,采用该品100200 mL/667 m²制剂量,用水量4560 kg/667 m²,进行喷雾喷施,可连续施药2次,间隔7 d左右。

其母药对眼睛有中度刺激性,操作时应穿戴防护服、防护面罩、护目镜、口罩、手套等安全防护用具;其制剂使用时应采取相应的安全防护措施,穿戴防护服、口罩、手套、护目镜等,避免皮肤接触及口鼻吸入。

2.5 芳姜黄酮 2025年登记该农药1个母药、1个制剂,由上海交通大学取得登记,英文通用名:ar-turmerone

2.5.1 13%芳姜黄酮母药 低毒,登记号PD20250003,是农药制剂加工的原材料,不得用于农作物或者其他场所。

2.5.2 6.5%芳姜黄酮乳油 低毒,登记号PD20250008,本品属植物源杀菌剂,防治黄瓜白粉病,作用机理是通过使病原菌组织细胞受到破坏而失去侵染能力,并诱导黄瓜植株体内的相关酶和生化物质提高植物的抗病性,对黄瓜白粉病有治疗和预防作用。在黄瓜白粉病发病前或发病初期(即黄瓜下部叶片出现零星粉斑时),采用该品250350 mL/667 m²制剂量,用水量4570 kg/667 m²进行常规喷雾,可连续施药3次,间隔57 d左右。

其母药对皮肤有刺激性,对眼睛有中度刺激性,操作时应穿戴防护服、防护面罩、护目镜、口罩、手套等安全防护用具;其制剂对皮肤有刺激性,对眼睛有中度刺激性,操作时应穿戴防护服、护目镜、手套、口罩、帽子等安全防护用具。

2.6 贝莱斯芽孢杆菌MBI600 2025年登记该农药2个制剂,英文通用名:Bacillus velezensis MBI600

2.6.1 20亿CFU/mL贝莱斯芽孢杆菌MBI600悬浮剂 微毒,登记号PD20250011,该农药由澳大利亚纽发姆有限公司取得登记。本品属微生物杀线虫剂/杀菌剂,防治小麦孢囊线虫和黄瓜根结线虫,作用机理是通过可定殖至植物根际、体表或体内,改善其周围菌群环境,与病原菌和线虫竞争植物周围的位点,并且分泌多种抗菌和抑制线虫生长物质,同时诱导植物防御系统抵御病原菌和线虫入侵,从而达到有效排斥、抑制、防治病菌和线虫的作用。防治小麦孢囊线虫,在小麦播种前拌种施药,采用该品2080 mL/100 kg种子制剂量,推荐药浆量为12 L,将药浆与种子充分搅拌,直到药液均匀且充分分布在种子表面,晾干后播种。防治黄瓜根结线虫,在黄瓜移栽当天采用该品80120 mL/667 m²制剂量,每株兑水量400 mL灌根施药1次。其制剂对眼睛有刺激性,使用时避免接触。配药和施药时应穿长衣长裤防护服、鞋子,戴帽子、口罩、护目镜和防护手套等防护用具,避免眼睛或皮肤接触及口鼻吸入。

2.6.2 550亿CFU/g贝莱斯芽孢杆菌MBI600可湿性粉剂 微毒,登记号PD20251261,该农药由巴斯夫欧洲公司取得登记。本品属杀菌剂,防治葡萄灰霉病和黄瓜白粉病,作用机理是通过与真菌病原体接触后破坏菌丝的生长并阻止孢子萌发,还会分泌依枯草菌素A和活性物质,杀灭真菌,在植株根系会大量繁殖,通过竞争关系(空间和营养)抑制病原体生长,并通过增强过氧化物酶的产生诱导植物的系统抗逆性。在葡萄灰霉病和黄瓜白粉病发病前或发病初期,采用该品500750倍液、用水量60100 kg/667 m²(葡萄灰霉病);4060 g/667 m²制剂量、用水量4060 kg/667 m²(黄瓜白粉病),进行常规喷雾施药,可连续施药3次,间隔7 d左右。

其制剂对眼睛有中度刺激性,配药和施药时应穿防护服、戴防护面罩(或护目镜和口罩)、手套等安全防护用具。

2.7 暹罗芽孢杆菌ZXKN01 2025年登记该农药1个母药、1个制剂,由山东垄喜植物保护有限公司取得登记,2025923日,变更原持有人山东康惠植物保护有限公司,英文通用名:Bacillus siamensis

2.7.1 100亿CFU/g暹罗芽孢杆菌ZXKN01母药 低毒,登记号PD20251257,是农药制剂加工的原材料,不得用于农作物或者其他场所。

2.7.2 10亿CFU/g暹罗芽孢杆菌ZXKN01可湿性粉剂 微毒,登记号PD20251259,本品属微生物杀菌剂,防治番茄根结线虫,作用机理是通过寄生,分泌丝氨酸、小肽等活性物质杀死线虫,还可通过诱导植株产生系统抗性提高番茄抵御线虫侵染的能力。在番茄移栽当天采用该品2 0002 500 g/667 m²制剂量、每株用药液量200400 mL进行灌根,可连续施药2次,间隔710 d左右。

其母药对眼睛有中度刺激性,操作时应穿防护服、戴防护面罩(或护目镜和口罩)、手套等安全防护用具,应避免接触皮肤和眼睛;其制剂对眼睛中度刺激性,使用时避免接触眼睛,应穿防护服、戴防护面罩(或护目镜和口罩)、手套等安全防护用具。

2.8 厚垣孢普克尼亚菌YMF1.00111 2025年登记该农药1个母药、1个制剂,由云南大学取得登记,英文通用名:Pochonia chlamydosporia

2.8.1 2亿CFU/g厚垣孢普克尼亚菌YMF1.00111母药 微毒,登记号PD20251258,是农药制剂加工的原材料,不得用于农作物或者其他场所。

2.8.2 0.2亿CFU/g厚垣孢普克尼亚菌YMF1.00111粉剂 微毒,登记号PD20251260,本品属微生物杀菌剂,防治番茄根结线虫,作用机理是直接侵染根结线虫的卵、雌虫和幼虫,并分泌具有杀线虫活性的代谢产物,从而达到防治根结线虫的目的。在番茄移栽时,采用该品2 0002 500 g/667 m²制剂量与适量细砂土拌匀后进行穴施。

其母药对眼睛有轻度刺激性,应避免接触皮肤和眼睛,操作时应穿防护服、戴防护面罩(或护目镜和口罩)、手套等安全防护用具;其制剂使用时应穿防护服、戴手套、口罩等安全防护用具。

2.9 耐盐芽孢杆菌BJ-3 2025年登记该农药1个母药、1个制剂,由北京市农林科学院取得登记,英文通用名:Bacillus Halotolerans BJ-3

2.9.1 5000亿CFU/g耐盐芽孢杆菌BJ-3母药 低毒登记号PD20252164,是农药制剂加工的原材料,不得用于农作物或者其他场所。

2.9.2 200亿CFU/g耐盐芽孢杆菌BJ-3水分散粒剂 低毒,登记号PD20252171,本品属微生物杀菌剂,防治葡萄溃疡病,作用机理是通过分泌拮抗蛋白、抗生素等抑菌物质,以及诱导植物产生系统抗性等方式,达到防治病害的目的。在葡萄溃疡病发生前(果实膨大期)或发病初期采用该品500750倍液制剂量,每株灌入24 L药液顺根茎基部灌根,可连续施药23次,间隔710 d

其母药对眼睛有刺激性,必要时应戴护目镜,使用时应穿防护服、戴手套、口罩等防护用具,不可直接接触药剂;其制剂对眼睛有刺激性,施用时避免眼睛接触,有条件者可佩戴护目镜和(或)防护面罩。

2.10 地毯草黄单胞菌噬菌体YHC5 2025年登记该农药1个母药、1个制剂,由菲吉乐科(南京)生物科技有限公司取得登记,英文通用名:Xanthomonas axonopodis phage YHC5

2.10.1 100亿PFU/mL地毯草黄单胞菌噬菌体YHC5母药 微毒,登记号PD20252165,是农药制剂加工的原材料,不得用于农作物或者其他场所。

2.10.2 50亿PFU/mL地毯草黄单胞菌噬菌体YHC5悬浮剂 微毒,登记号PD20252172,本品属微生物杀菌剂,防治柑橘树溃疡病,作用机理是通过不断侵染裂解宿主菌将其直接杀死,并释放子代噬菌体,形成侵染循环,具有一定的定殖、扩散能力,可控制病害的发生发展。在柑橘树溃疡病发病初期采用该品5001000倍液制剂量进行喷雾喷施,可连续施药34次,间隔710 d左右。

其母药生产操作时应采取相应的安全防护措施,避免皮肤接触、口鼻吸入;其制剂使用时应采取相应的安全防护措施,避免皮肤接触及口鼻吸入。

2.11 粉红螺旋聚孢霉J1446 2025年登记该农药1个制剂,由加拿大拉曼公司取得登记,英文通用名:Clonostachys rosea J1446

2.11.1 10亿CFU/g粉红螺旋聚孢霉J1446水分散粒剂 微毒,登记号PD20252176,本品属微生物杀菌剂,防治番茄灰霉病和草莓灰霉病,作用机理是通过对生存空间和营养物质的竞争,抑制病原菌生长,产生几丁质酶、葡聚糖酶等细胞壁降解酶,裂解病原菌进行分枝寄生或者超寄生。在番茄、草莓灰霉病发病前采用该品2030 g/667 m²制剂量,用水量4060 kg/667 m²进行喷雾喷施,每季可施药23次,间隔710 d

其制剂对眼睛有刺激性,施用时避免眼睛接触,有条件者可佩戴护目镜或防护面罩,施用时注意安全防护,穿戴长衣、长裤、帽子、口罩、手套、鞋子等。

2.12 贝莱斯芽孢杆菌BJ-1 2025年登记该农药1个母药、1个制剂,由北京市农林科学院取得登记,英文通用名:Bacillus velezensis BJ-1

2.12.1 2000亿CFU/g贝莱斯芽孢杆菌BJ-1母药低毒,登记号PD20252163,是农药制剂加工的原材料,不得用于农作物或者其他场所。

2.12.2 200亿CFU/g贝莱斯芽孢杆菌BJ-1水分散粒剂 低毒,登记号PD20252170,本品属微生物杀菌剂,防治番茄灰霉病,作用机理是通过分泌拮抗蛋白、抗生素等抑菌物质,以及诱导植物产生系统抗性等方式,达到防治病害的目的。在番茄灰霉病发生前或发病初期采用该品112.5450 g/667 m²制剂量,用水量4560 kg/667 m²进行常规喷雾,可连续施药23次,间隔7 d左右。

其母药对眼睛中度刺激性,对皮肤轻度刺激性,避免接触眼睛和皮肤,生产操作时应穿防护服、戴防护面罩(或护目镜和口罩)、手套等安全防护用具;其制剂对眼睛有刺激性,施用时避免眼睛接触,有条件者可佩戴护目镜和(或)防护面罩,使用时应穿防护服、戴手套等安全防护用具。

3 2025年新农药登记主要特点

3.1 登记证持有人国内占比居多 我国登记的29个新农药产品,有25个产品的登记证持有人为国内企业、科研院所或高校,占比86.2%3所科研院所或高校直接作为农药登记证持有人,体现了产学研紧密结合,这是我国农药产业自主创新能力显著提升的体现。

3.2 生物农药占比高 2025年新增登记的新农药产品中,化学农药产品6个,生物农药23个,其中微生物农药产品21个,植物源农药产品2个,生物农药占新农药产品的79.3%,微生物农药占新农药产品的72.4%

3.3 全部为低毒微毒农药 2025年,我国登记的新农药产品毒性全部为低毒或微毒,其中低毒产品13个,占44.8%,微毒产品16个,占55.2%,无中等毒或高毒。随着近年来农业农村部有关政策顶层设计的引导、农药登记管理严把准入关口以及对农业安全科学用药的培训与普及,使其对登记的新农药低毒化现象产生了具体影响。


相关内容 更多>>

回到顶部 回到顶部